New 4-Aminophenazone derivatives: synthesis, design, and docking analysis as selective COMT inhibitors
Abstract
Different compounds of 4-amino antipyrine (4-Aminophenazone) were synthesized through two lines: the first line was through the reaction of the raw material with phenacyl bromide derivatives, which are three derivatives with the presence of triethylamine as a catalyst, and the second line was through the reaction of the starting material with two derivatives of benzoyl chloride one of the compound Pre-factory (B1). The results were analyzed through FTIR, HNMR, and 13CNMR, and molecular docking was performed, and the results were confirmed. The results showed that the compounds act as inhibitors of the COMT enzyme, but to a lesser extent than the basic substance, tolcapone. This work involved molecular docking of synthesized molecules with the COMT enzyme, yielding favorable ratings in comparison to the co-crystal ligand and tolcapone. The molecule exhibiting the highest docking score was chosen for molecular dynamics (MD) simulation utilizing the GROMACS program. The simulation results were evaluated using several parameters, including RMSD, SASA, RMSF, and Rg. The RMSD study demonstrated consistent ligand binding throughout the simulation duration. The SASA results indicated uniform solvent accessibility, whereas the RMSF emphasized areas of flexibility within the protein. The Rg values indicated the overall compactness and stability of the protein-ligand complex. The results indicate that the synthesized chemical demonstrates significant binding stability and interaction with the COMT enzyme, necessitating additional research for possible therapeutic uses.
Keywords: 4-Aminophenazone, Molecular docking, Molecular dynamics, COMT enzyme
Introduction
Antipyrine (1, 5-dimethyl-2-phenylpyrazole-3-one) is a chemical entity characterized by a pyrazolone structure, comprising a five-membered ring containing two nitrogen atoms and a ketone functional group. The nomenclature "antipyrine" was first coined by Ludwig Knorr in the late 18th century. This compound was recognized as the inaugural synthetic analgesic and maintained its status as the most prevalent medication until the advent of aspirin in the early 20th century [1, 2]. Numerous compounds derived from antipyrine have been developed through careful derivatization, including isopropyl antipyrine L2, aminopyrine L3, Ramifenazone L4, and Dipyrone L5, which are extensively utilized globally as anti-inflammatory and analgesic medications [3-6]. Figure 1.
Aminoantipyrine (Ampyrone) is a derivative of antipyrine featuring an amino group at the C-4 position, exhibiting numerous biological activities [7]. Figure 2 shows that 4-aminoantipyrine, with its reactive amino group, is a promising amphoteric substrate for Schiff base formation due to its free amine and cyclic ketone [8]. Numerous derivatives have been synthesized through reactions involving aldehydes or ketone compounds to produce Schiff bases, or by condensation with acyl or alkyl halides [9, 10]. Moreover, the reactivity of cyclic ketones has been harnessed to generate compounds with various amine derivatives, resulting in products exhibiting notable ligation properties. These derivatives have further been utilized as ligands in the development of versatile transition metal complexes for prospective biological applications, encompassing anti-inflammatory agents [11, 12]. Their functions span a range of biological activities, including anticonvulsant [13], cytotoxic [14], superoxide dismutase [2, 6, 15], and antidiabetic effects [16], as well as acting as non-steroidal anti-inflammatory drugs, non-narcotic analgesics, anti-rheumatic agents, peripheral nervous system medications, prostaglandin-endoperoxide synthase inhibitors, antipyretics, and marine xenobiotic metabolites. Additionally, they serve as reagents in biochemical reactions that yield peroxides or phenols [17, 18]. Ampyrone stimulates liver microsomes and is biochemically associated with antipyrine [19, 20]. It is also used for measuring extracellular water and is classified as a primary amino compound and a pyrazolone [21-23].as shown in Figure 1.
|
|
|
Figure 1. 4-aminoantipyrine |
COMT (catechol-O-methyltransferase) inhibitors are medications used alongside carbidopa-levodopa and tolcapone to alleviate the symptoms of Parkinson’s disease (PD). Carbidopa-levodopa combined with tolcapone represents the most effective treatment for PD's motor symptoms. Nevertheless, patients may notice diminished effects from the medication over time. COMT inhibitors help prolong the efficacy of carbidopa-levodopa therapy, enabling the use of lower doses of the latter [24-26].
Incorporating a COMT inhibitor reduces the breakdown of levodopa and tolcapone in the body, facilitating a greater amount to reach the brain and enhancing its therapeutic effects [27-29], as illustrated in Figure 2.
|
|
|
Figure 2. Mechanism of action of COMT Inhibitors |
Experimental part
Materials and Methods
The materials were procured from Sigma-Aldrich and included 4-Aminoantipyrine. Infrared spectra were recorded utilizing the Shimadzu Specac GS 10800-R IR Affinity-1 Spectrometer (v = cm⁻¹). For the compounds synthesized, proton nuclear magnetic resonance (¹H NMR) spectra were obtained with an AVANCE-III 300 MHz Nano Bay FT-NMR spectrometer, employing tetramethylsilane (TMS) as the internal reference standard. The chemical shifts were reported in delta (δ, ppm), with DMSO-d6 serving as the solvent [15, 30].
Chemical synthesis
General method for synthesis of 4-aminoantipyrine derivatives (A1, A2 & A3).
In a 150 mL flask, combine 4-aminoantipyrine (0.0024 mol, 0.5 g) with 10 mL of ethanol and introduce trimethylamine (0.0024 mol, 0.3 mL). Agitate the mixture for 15 minutes. In a separate vessel, dissolve 2,4'-dibromoacetophenone (0.0007 mol, 0.66 g), 2-bromo-4'-chloroacetophenone (0.0007 mol, 0.6 g), and 2-bromo-4-nitroacetophenone (0.0007 mol, 0.58 g) in dimethyl sulfoxide. Incorporate this solution into the initial mixture and continue stirring for 15 hours at ambient temperature. Subsequently, filter the product and recrystallize the resultant precipitate using 70% ethanol.
4-((2-(4-bromophenyl)-2-oxoethyl)amino)-1,5-dimethyl-2-phenyl-1,2-dihydro-3H-pyrazol-3-one
(A1)
Orange powder, yield (70%), melting point = (220-224 ⁰C), Rf = 0.62,
ATR-FTIR (υ, cm-1): 3251 (NH) stretching of secondary amide, 1657 (C=O) stretching of carbonyl, 1582, 1539, 1491 Ar (C=C) stretching,11227 (C-N) stretching, 708 (Ar-p-Br substitution).
1H-NMR (300 MHz, DMSO-d6, δ = ppm): 9.23 (t, 1H, NH), 8.13-7.37 (m, 9H, Ar-H), 3.35 (d, 2H, CH2), 2.43 (s, 3H, N-CH3), 1.23 (s, 3H, C-CH3).
13C-NMR (75 MHz, DMSO-d6, δ = ppm): 10.20, 34.94, 114.07, 126.86, 128.68, 128.83, 129.86, 132.32, 134.02, 135.28, 138.01, 149.04, 153.06, 158.28, 191.22.
4-((2-(4-chlorophenyl)-2-oxoethyl)amino)-1,5-dimethyl-2-phenyl-1,2-dihydro-3H-pyrazol-3-one (A2)
Yellow powder, yield (65%), melting point = (237-240 ⁰C), Rf = 0.66,
ATR-FTIR (υ, cm-1): 3260 (NH) stretching of secondary amide, 1657 (C=O) stretching of carbonyl, 1586, 1546, 1456 Ar (C=C) stretching, 1326 (C-N) stretching, 841 (Ar-p-Cl substitution).
1 H-NMR300MHz,DMSOd6,δ=ppm): 9.22(t,1H, NH), 8.04-7.37(m,9H, Ar-H),3.57(d,2H,CH2), 2.42(s,3H, N-CH3), 1.23(s,3H, C-CH3).
13CNMR(75MHz,DMSOd6,δ=ppm):10.21,34.94,114.06,126.85,127.18,128.68,129.86,131.76,133.42,134,135.60,148.96,153.04,158.25,191.12
1,5-dimethyl-4-((2-(4-nitrophenyl)-2-oxoethyl)amino)-2-phenyl-1,2-dihydro-3H-pyrazol-3-one(A3)
yellow powder, yield (60%), m.p = (206-2210 ⁰C), Rf = 0.68,
ATR-FTIR (υ, cm-1): 3314 (NH) stretching of secondary amide, 1661 (C=O) stretching of carbonyl, 1598, 1546, 1469 aromatic (C=C) stretching, 1318 (C-N) stretching, symmetric NO2 at 1546 and asymmetric at 1358 cm-1
1 H-NMR 300MHz, DMSO-d6, δ=ppm): 9.23 (t, 1H, NH), 8.39-7.38 (m, 9H, Ar-H), 3.36 (d, 2H, CH2), 2.45 (s, 3H, N-CH3), 1.23 (s, 3H, C-CH3).
13C NMR (75MHz, DMSO-d6, δ=ppm): 10.19, 34.89, 114.03, 123.64, 127.04, 128.83, 129.89, 131.75, 133.89, 142.02, 148.31, 149.75, 152.93, 158.09, 191.39
General method for synthesis of 4-Aminoantipyrine derivatives (B1, B2)
In a solution comprising 4-aminoantipyrine (0.0024 mol, 0.5 g) dissolved in 10 mL of ethanol, trimethylamine (0.0024 mol, 0.3 mL) was introduced and agitated for a duration of 15 minutes in a 150 mL flask. Subsequently, p-hydroxybenzoyl chloride (0.0024 mol, 0.376 g) and benzoyl chloride (0.0024 mol, 0.336 g) were incorporated after initially dissolving p-hydroxybenzoyl chloride in several drops of dimethyl sulfoxide, and the mixture was stirred for 15 hours at ambient temperature. The resultant solid was subjected to filtration and recrystallization utilizing 70% ethanol.
N-(1,5-dimethyl-3-oxo-2-phenyl-2,3-dihydro-1H-pyrazol-4-yl)benzamide (B1)
Bright yellow powder, yield (70%), melting point = (192-196 ⁰C), Rf = 0.60,
ATR-FTIR (ν, cm-1): 3251 (NH) stretching of secondary amide, 1687 cm-1 (C=O) stretching of carbonyl, 1601, 1583, 1453 aromatic (C=C) stretching, 1292 (C-N) stretching.
1H-NMR (300 MHz, DMSO-d6, δ=ppm): 9.30 (t, 1H, NH), 8.40-7.29 (m, 9H, Ar-H), 3.39 (s, 1H, OH), 2.80 (s, 3H, N-CH3), 1.52 (s, 3H, C-CH3).
13C-NMR (75 MHz, DMSO-d6, δ=ppm): 10.20, 34.90, 114.03, 123.64, 127.44, 128.83, 129.89, 131.75, 133.89, 142.02, 148.31, 149.75, 158.09.
N-(1,5-dimethyl-3-oxo-2-phenyl-2,3-dihydro-1H-pyrazol-4-yl)-4-hydroxybenzamide (B2)
Vibrant orange powder, yield (70%), melting point = (201-203 ⁰C), Rf = 0.68,
ATR-FTIR (ν, cm-1): 3251 (NH) stretching of secondary amide, 1696 (C=O) stretching of carbonyl, 1594 (C=N) stretching, 1637, 1594, 1495 aromatic (C=C) stretching, 1332 (C-N) stretching, 694 (aromatic p-Bromine substitution).
1 H-NMR300MHz,DMSOd6,δ=ppm): 9.23(t,1H,NH), 8.40-7.39(m,9H,Ar-H), 2.77(s,3H, N-CH3), 1.50 (s,3H, C-CH3).
13CNMR(75MHz,DMSOd6,δ=ppm):12.5,34.9,122.8,123.9,128.8,129.2,103.4,132.1,133.2,133.7,133.9,160.7,166.2,
Molecular induced fit (flexible) docking study
Molecular docking analysis was conducted on the catechol-O-methyltransferase (COMT) protein (4XUC) [31, 32], which was resolved through X-ray crystallography at a resolution of 1.80 Å. Chain A, comprising 218 amino acids, contains a binding site for a co-crystal ligand (43G). Prior to docking chain A, water molecules were eliminated and hydrogen atoms were incorporated; the AMBER10 force field was employed to minimize energy [33-35]. The binding site is constituted by specific amino acid residues, and the docking process was executed utilizing MOE 2022 software. The SMILE representations of the compounds under investigation were produced with Chem-Bio Draw Ultra 13.0, and three-dimensional models were developed in MOE 2022. These three-dimensional structures underwent protonation and energy minimization to achieve a root-mean-square deviation of 0.1 Å. Numerous methodologies for the validation of scoring functions and docking software are available, including the selection of poses, which re-dock compounds in known conformations. The software's efficiency was evident in docking the co-crystallized ligand (NO2) with this protein, yielding a good RMSD Dock of 0.78 Å with MOE, indicating its effectiveness for our new ligand [9, 36, 37].
Molecular dynamics simulation
Molecular dynamics (MD) simulations were performed on the highest-ranking complexes. of the molecular docking score. The purpose of MDS was to suggest a mechanism of action for the synthesized compound. The system was prepared using the TIP3P water model and simulated using GROMACS 2023.0 on Linux 22.4. The following setup includes Ligand and Protein Modeling. Ligand topologies were generated using the SwissParam server [6]. The protein was modeled using the CHARMM27 force field. System Preparation: A salt concentration of 0.15 mol/L was added to ensure system neutrality. Energy minimization was performed using the steepest descent method for 50,000 steps [38]. Equilibration phases for NVT (constant number of particles, volume, and temperature) and NPT (constant pressure and temperature) were conducted at 300 K and 1 atm. V-rescale thermostat and Parrinello-Rahman barostat were employed to maintain temperature and pressure stability. The 100-nanosecond production run was conducted at 300. The following metrics were calculated to assess system stability and interactions: Root Mean Square Deviation (RMSD), RMSF, Radius of Gyration (ROG), and SASA. Plots for these analyses were generated using Xmgrace software and the matplotlib library [5, 29, 39-41].
Results and Discussion
Chemistry [42, 43]
The synthesis of compounds (A1, A2, A3 and B1, B2) is show in the Figure 3.
![]() |
|
Figure 3. synthesis of titled compounds (A1, A2, A3, and B1, B2) |
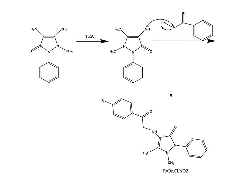
The synthesis of compounds (A1, A2, A3)
In the first interaction resulted three compounds (A1, A2, and A3) were produced. As a result of 4-aminoantipyrin interacts with Phenacyl Bromide shown in the Figure 4.
|
|
|
Figure 4. The mechanism of compounds (A1, A2, and A3) |
The synthesis of compounds (B1, B2)
In the second interaction resulted in two compounds (B1, B2). This is a result of 4-amino antipyrin's interaction with benzoyl chloride, as shown in Figure 5.
|
|
|
Figure 5. The mechanism of compounds (B1, B2) |
Molecular docking analysis
The molecular docking employed the MOE software to ascertain the most substantial binding site in catechol-O-methyltransferase (COMT) through the SITE FINDER module . The ligand and the interacting amino acids were maintained in a flexible state to accommodate the induced fit during the flexible docking procedure. Each molecule exhibited five unique interactions with the protein. The docking scores corresponding to the optimal conformation within the active pocket were documented, alongside the binding site, as detailed in Table 1. This data predicted the recommended binding mode and affinity of the compounds tested, represented as binding free energy (ΔG). The ligand-protein interaction is shown in the COMT binding site in Figure 6 and Table 1, providing insights into the binding mode, affinity, orientation of each pose, and binding free energy (∆G) for the compounds assessed [44].
|
Table 1 shows the (DG) kcal/mol of compounds against the COMT enzyme |
|
|
Compound |
Docking Score Kcal/mole |
|
Co crystal |
-5.78 |
|
tolcapon |
-6.09 |
|
Compound A1 |
-6.67 |
|
Compound A2 |
-6.85 |
|
Compound A3 |
-6.61 |
|
|
|
a) |
|
|
|
b) |
|
|
|
c) |
|
|
|
d) |
|
|
|
e) |
|
|
|
f) |
|
|
|
g) |
|
Figure 6. Candidate compound (A1,A2,A3,B1,B2 ,co crystal and tolcapone ) docked in COMT ENZYME |
RMSD: root mean square deviation
RMSD is a key measure in the analysis of the stability of trajectories in molecular dynamics simulations. Plotting the RMSD along the x-axis as a function of time was done [20, 45, 46]. The variations in the backbone atoms of the protein (green), ligand (blue), and complex for the protein and ligand (red) are examined to examine the stability complex system under investigation during the simulation. The RMSD complex of ligand and backbone (green color) is regarded as stable after 5 ns despite some fluctuations in RMSD. This may result from the thermal energy of molecules that vibrate and rearrange themselves continuously; perhaps the system is not quite balanced. As the system enters its stable state, the RMSD may exhibit more variations during this early phase; the simulation's force field may impact how accurately atoms interact and are positioned, as shown in Figure 7 [47-50].
|
|
|
Figure 7. The RMSD of compound A2/COMT complex for 100 ns. |
Solvent accessible surface area
It is a crucial concept in computational chemistry and biomolecular modeling. It represents the area of a molecule's surface that is accessible to solvent molecules (typically water) in a given conformation. This surface area plays a significant role in various biological processes, influencing molecular interactions, protein folding, and drug design strategies. Our SASA plot values against time, showcasing the evolution of the solvent-accessible surface area of a molecule during an MD simulation [51]. The SASA values stability over time, indicating dynamic changes in the molecule's solvent accessibility, as shown in Figure 8.
|
|
|
Figure 8. solvent accessible surface area of compound A2/COMT complex for 100 ns. |
Root mean square fluctuation
RMSF (Root Mean Square Fluctuation) quantifies the average displacement of atomic coordinates from their mean positions within molecular dynamics simulations [52-56]. This metric serves as an indicator of the flexibility and dynamic behavior of protein architectures. Elevated RMSF values are indicative of increased flexibility, whereas diminished values reflect structural rigidity [57-63]. The accompanying figure presents a comparative RMSF graph of the complexes, emphasizing the active site residues delineated in red, produced using 'gmx rmsf.' As illustrated in Figure 9.
Radius of gyration
The Rg values show that the molecule's structure is comparatively stable, with no discernible changes in its general shape over time, fluctuating within a range of 1.7 nm The minute changes in Rg may be due to heat oscillations or small conformational changes in the molecule, as shown in Figure 9.
|
|
|
a) |
|
|
|
b) |
|
Figure 9. The RMSD and Radius of gyration of compound A2/COMT complex for 100 ns |
Conclusion
The novel compounds (A1, A2, A3, B1, and B2) were synthesized and validated through spectroscopic methods such as FTIR, HNMR, and 13CNMR. These compounds were also developed and evaluated for their binding affinity to the active site of the COMT enzyme using molecular docking studies. The results of binding energy indicate that all of the compounds show approximately comparable binding energy to the reference drug, tolcapone. The new compounds can be synthesized as a new selective COMT inhibitor [64, 65]. Molecular docking and subsequent molecular dynamics simulations provided valuable insights into the interaction between the synthesized compound and the COMT enzyme. The RMSD plot showed that the ligand maintained a stable conformation during the simulation, indicating a strong binding affinity. SASA analysis confirmed that solvent accessibility remained constant, indicating that there are no significant structural changes that would hinder ligand binding. Examination of the protein by RMSF reveals general stability, with only some limited areas of flexibility observed that do not significantly affect ligand binding. This demonstrates the ability of the ligand to stabilize the protein and enhance its function as a potential inhibitor. Finally, Rg analysis revealed that the protein-ligand complex maintained a stable and compact structure over time. Overall, these results demonstrate that the synthesized compound exhibits a stable and positive interaction with the COMT enzyme, comparable to known inhibitors such as tolcapone. This mixture has potential as a candidate for further development and optimization in the treatment of conditions in which COMT inhibition is beneficial. Future research should focus on experimental confirmation and further optimization of the pharmacokinetic properties of the drug to increase its therapeutic potential.
Acknowledgments: The authors are grateful to the Department of Pharmaceutical Chemistry, College of Pharmacy, University of Tikrit, Iraq, for supporting the current work.
Conflict of interest: None
Financial support: None
Ethics statement: None
References
- Cunha S, Oliveira SM, Rodrigues Jr MT, Bastos RM, Ferrari J, de Oliveira CM, et al. Structural studies of 4-aminoantipyrine derivatives. J Mol Struct. 2005;752(1–3):32–9.
- Krishnan MA, Saranyaparvathi S, Raksha C, Vrinda B, Girish CG, Kulkarni NV, et al. Transition metal complexes of 4-aminoantipyrine derivatives and their antimicrobial applications. Russ J Coord Chem. 2022;48(11):696–724.
- Sahin Z, Özhan Y, Sipahi H, Biltekin SN, Yurttaş L, Berk B, et al. Novel benzofurane-pyrazole derivatives with anti-inflammatory, cyclooxygenase inhibitory and cytotoxicity evaluation. Z Naturforsch C. 2022;77(7–8):279–85.
- Asif M, Imran M, Husain A. Approaches for chemical synthesis and diverse pharmacological significance of pyrazolone derivatives: a review. J Chil Chem Soc. 2021;66(2):5149–63.
- Watanabe S, Masamura N, Satoh S, Hirao T. Evaluating the effectiveness of DNA barcoding for insect identification: a comprehensive review. Entomol Lett. 2024;4(2):34–41. doi:10.51847/ZVNniNFsOR
- Patil RD. Structural insights into the alimentary canal of Deudorix isocrates (Fab.) larvae (Lepidoptera: Lycaenidae). Entomol Lett. 2022;2(1):28–36. doi:10.51847/PoTmk4aq6W
- Başaran E. Schiff base derivatives based on ampyrone as promising acetylcholinesterase inhibitors: synthesis, spectral characterization, biological activity, and SwissADME predictions. Russ J Bioorg Chem. 2023;49(1):114–26.
- Pelfrene E, Botgros R, Cavaleri M. Antimicrobial multidrug resistance in the era of COVID-19: a forgotten plight? Antimicrob Resist Infect Control. 2021;10(1):21.
- Shaheen RS, Alsaffan AD, Al-Dusari RS, Helmi RN, Baseer MA. Self-reported oral hygiene and gum health among dental and medical students, dentists, and physicians in Saudi Arabia. Turk J Public Health Dent. 2023;3(1):9–16. doi:10.51847/SZCGti8lFn
- Yurievna LE, Mikhailovich PV, Tokhiriyon B, Nikolaevna DN, Anatolyevna PG, Yurievich LN. A comparative evaluation of "Cerafill" and "iRoot" bioceramic sealers: mechanical and chemical insights. Asian J Periodontics Orthod. 2023;3:12–7. doi:10.51847/xwOhbZsqp0
- Sherif SH, Kure DA, Moges EA, Argaw B. Synthesis, characterization, and antibacterial activity evaluation of 4-amino antipyrine derivatives and their transition metal complexes. Am J Biosci Bioeng. 2021;9(1):8–12.
- Malcangi G, Patano A, Trilli I, Piras F, Ciocia AM, Inchingolo AD, et al. A systematic review of the role of soft tissue lasers in enhancing esthetic dental procedures. Int J Dent Res Allied Sci. 2023;3(2):1–8. doi:10.51847/DWXltUS9Lp
- Sager AG, Abaies JK, Katoof ZR. Molecular docking, synthesis and evaluation for antioxidant and antibacterial activity of new oxazepane and benzoxazepine derivatives. Baghdad Sci J. 2024;21(7):10.
- Sarwade KN, Sakhare KB, Sakhare MA, Thakur SV. Neuroprotective, anticancer and antimicrobial activities of azo-Schiff base ligand and its metal complexes. Eurasian J Chem. 2025;30(1):4–14.
- Dongmo LF, Tamesse JL. Population Trends of Hilda cameroonensis Tamesse & Dongmo (Tettigometridae), a Pest of Vernonia amygdalina Delile in Yaoundé, Cameroon. Int J Vet Res Allied Sci. 2023;3(1):1–10. doi:10.51847/CurzkzD60G
- Mohale HP, Jawahar P, Jayakumar N, Oli GA, Ravikumar T, Bhosle RV, et al. Length-weight relationship and condition factors of seven Penaeus shrimp species along the southeast coast of Tamil Nadu (Southern India). Indian J Anim Res. 2024;58(8):1383–92.
- Sugimori T, Yamaguchi M, Kikuta J, Shimizu M, Negishi S. The biomechanical and cellular response to micro-perforations in orthodontic therapy. Asian J Periodontics Orthod. 2022;2:1–15. doi:10.51847/Z9adSJ59rj
- Costa LA, Eiro N, Vaca A, Vizoso FJ. Advanced microscopy and cell culture techniques in regenerative endodontics. Asian J Periodontics Orthod. 2022;2:42–6. doi:10.51847/ExCWvexPbC
- Hebballi AP, Kumar MR P, Rajagopal K, Barua R, Alshehri MA, Rab SO, et al. Biological roles and pharmaceutical applications of metal-complexed coumarin derivatives: a comprehensive review. Curr Org Chem. 2025;29(19):1449-71.
- Bulusu A, Cleary SD. Comparison of dental caries in autistic children with healthy children. Ann J Dent Med Assist. 2023;3(2):14–9. doi:10.51847/wa2pZXE4RJ
- Froidevaux P, Grilj V, Bailat C, Geyer WR, Bochud F, Vozenin MC. FLASH irradiation does not induce lipid peroxidation in lipids micelles and liposomes. Radiat Phys Chem. 2023;205:110733.
- Fiodorova OA, Sivkova EI, Nikonov AA. Safeguarding beef cattle from gnats and gadflies in the Southern Tyumen Region. Int J Vet Res Allied Sci. 2022;2(2):8–13. doi:10.51847/iVXOeXmSNZ
- Marian M, Shah R, Gashi B, Zhang S, Bhavnani K, Wartzack S, et al. The role of synovial fluid morphology in joint lubrication and function. Int J Vet Res Allied Sci. 2024;4(2):1–4. doi:10.51847/WXAMJiBFbr
- Morsy A, Attaai A, El-Aref H, Effat M Elfarash A. The protective effect of omega-3 fatty acids against genotoxicity and hepatotoxicity of doxorubicin treatment in male albino rats. J App Mol Biol. 2024;2(2):140–53.
- Akhmetova VR, Akhmadiev NS, Ibragimov AG. Sulfur-containing pyrazoles, pyrazolines and indazoles. InN-Heterocycles: synthesis and Biological Evaluation 2022 Apr 24 (pp. 275-312). Singapore: Springer Nature Singapore.
- Dipalma G, Inchingolo AD, Fiore A, Balestriere L, Nardelli P, Casamassima L, et al. Comparative effects of fixed and clear aligner therapy on oral microbiome dynamics. Asian J Periodontics Orthod. 2022;2:33-41. doi:10.51847/mK28wdKCIX
- Xhafa S, Di Nicola C, Tombesi A, Pettinari R, Pettinari C, Scarpelli F, et al. Pyrazolone-based Zn (II) complexes display antitumor effects in mutant p53-carrying cancer cells. J Med Chem. 2024;67(17):15676-90.
- Flynn A, Dennis S, Preston E, Canning CG, Allen NE. Exercising with Parkinson's: the good, the bad and the need for support to keep exercising. A qualitative study. Clin Rehabil. 2022;36(10):1332-41.
- Pisano M, Sangiovanni G, Frucci E, Scorziello M, Benedetto GD, Iandolo A. Assessing the reliability of electronic apex locators in different apical foramen configurations. Asian J Periodontics Orthod. 2023;3:1-5. doi:10.51847/qOUk0OkkRZ
- Domatskiy VN, Sivkova EI. Patterns of epidemiology and epizootiology of toxocariasis across the Russian Federation. Int J Vet Res Allied Sci. 2023;3(1):11-8. doi:10.51847/pQLhSidHBz
- Connolly BS, Lang AE. Pharmacological treatment of Parkinson disease: a review. JAMA. 2014;311(16):1670-83.
- Graefen B, Hasanli S, Fazal N. Behind the white coat: the prevalence of burnout among obstetrics and gynecology residents in Azerbaijan. Bull Pioneer Res Med Clin Sci. 2023;2(2):1-7. doi:10.51847/vIIhM1UG2l
- Qayyum A, Zai CC, Hirata Y, Tiwari AK, Cheema S, Nowrouzi B, et al. The role of the catechol-O-methyltransferase (COMT) GeneVal158Met in aggressive behavior, a review of genetic studies. Curr Neuropharmacol. 2015;13(6):802-14.
- Dhanasekar P, Rajayyan JS, Veerabadiran Y, Kumar KS, Kumar KS, Chinnadurai N. Evaluation of alum and purification process of water by coagulation method. Bull Pioneer Res Med Clin Sci. 2022;1(2):1-6. doi:10.51847/R8GyfOmMDh
- Makhoahle P, Gaseitsiwe T. Efficacy of disinfectants on common laboratory surface microorganisms at R.S Mangaliso Hospital, NHLS Laboratory, South Africa. Bull Pioneer Res Med Clin Sci. 2022;1(1):1-12. doi:10.51847/d5bXpXAtcI
- Mohamed MAPS, Samad NA, Mohamad NN, Zain MYA. Synthesis, analgesic evaluation, molecular docking and DFT studies of novel 4-aminoantipyrine derivatives. Afr J Biomed Res. 2025;28(1S):1128-43.
- Maneea ASB, Alqahtani AD, Alhazzaa AK, Albalawi AO, Alotaibi AK, Alanazi TF. Systematic review of the microbiological impact of sodium hypochlorite concentrations in endodontic treatment. Int J Dent Res Allied Sci. 2024;4(2):9-15. doi:10.51847/PH80PpWOX7
- Zuev RV. A comprehensive checklist with annotations of millipedes (Myriapoda: Diplopoda) in the Stavropol Territory, Northern Caucasus, Russia. Entomol Lett. 2022;2(1):19-27. doi:10.51847/fEjYpJ0vuT
- Harrison ST, Poslusney MS, Mulhearn JJ, Zhao Z, Kett NR, Schubert JW, et al. Synthesis and evaluation of heterocyclic catechol mimics as inhibitors of catechol-O-methyltransferase (COMT). ACS Med Chem Lett. 2015;6(3):318-23.
- Bolay Ş, Öztürk E, Tuncel B, Ertan A. Studying fracture strength of root-treated and reconstructed teeth with two types of post and core. Ann J Dent Med Assist. 2024;4(2):1-6. doi:10.51847/i57dzmzc2A
- Malinga L, Laing M. Economic evaluation of biopesticides vs. chemical insecticides: impact on cotton farming in South Africa. Entomol Lett. 2024;4(2):22-33. doi:10.51847/0dYZdyeQRm
- Mohamed SK, Ahmad S, Albayati MR, Elgarhy SM, Lai CH, Mague JT, et al. Insight into the crystal structures and potential of two newly synthesized naproxen-based hydrazide derivatives as potent COX-2 inhibitors. Appl Biochem Biotechnol. 2022;194(12):5781-807.
- Hamdoon YS, Hadi MK. Molecular docking, ADMET, synthesis and evaluation of new indomethacin hydrazide derivatives as antibacterial agents. Pharmacia. 2024;71:1–10.
- Ameer H, Yahya S, Zeyad N, Nihad K. In silico profiling of new 1,2,3,4-tetrahydropyrimidine derivatives linked to hydroxamate moiety by various aromatic linkers as HDACs inhibitors. Adv J Chem A. doi:10.48309/ajca.2025.469784.1612
- Botelho J, Machado V, Proença L, Delgado AS, Mendes JJ. Investigating the relationship between gingivitis and level of vitamin D in children with diabetes. Ann J Dent Med Assist. 2023;3(2):1-7. doi:10.51847/HqiLwSaVdU
- Hussien MA, Waly NG, El-Sheikh MA. Evaluation of the attitude, knowledge, and ability of specialized dental assistants in the field of vital statistics application. Ann J Dent Med Assist. 2023;3(2):27-32. doi:10.51847/8VU9I2YpJE
- Figueroa-Valverde L, Marcela R, Alvarez-Ramirez M, Lopez-Ramos M, Mateu-Armand V, Emilio A. Statistical data from 1979 to 2022 on prostate cancer in populations of Northern and Central Mexico. Bull Pioneering Res Med Clin Sci. 2024;3(1):24-30. doi:10.51847/snclnafVdg
- Suchy W, Jurkowski O. Clinical assessment of 5% lidocaine patches for postoperative analgesia: efficacy, effectiveness, and safety. Bull Pioneering Res Med Clin Sci. 2024;3(1):31-6. doi:10.51847/UxKg3AkOTB
- Chen X, Li C, Liu H. Investigating different methods of increasing the stability of medicinal recombinant proteins: a review study. Bull Pioneering Res Med Clin Sci. 2023;2(2):8-14. doi:10.51847/bxQo3dIbnf
- Weerasinghe K, Scahill SL, Pauleen DJ, Taskin N. Examining the uses and priorities of big data in pharmaceuticals. Bull Pioneering Res Med Clin Sci. 2023;2(2):27-32. doi:10.51847/5S8fLd1m1N
- Ansari S, Alshamrani B, Alzahrani A, Alfayez A, Alhebshan N, Alshamrani A. Prevalence of dental fluorosis among teenagers; a cross-sectional study in the schools of Riyadh. Bull Pioneering Res Med Clin Sci. 2022;1(1):13-7. doi:10.51847/37FuXGVEpm
- Lassmann Ł, Nowak Z, Orthlieb J, Żółtowska A. Exploring the correlation between condylar guidance and cuspal morphology: an in-vitro study. Ann Orthod Periodontics Spec. 2022;2:29-35. doi:10.51847/NjUvnJC2lk
- Wilhelmy L, Willmann JH, Tarraf NE, Wilmes B, Drescher D. Managing first molar agenesis: a long-term assessment of space closure and implant options. Ann Orthod Periodontics Spec. 2022;2:1-7. doi:10.51847/ryKxA1287r
- Patatou A, Iacovou N, Zaxaria P, Vasoglou M, Vasoglou G. Corticotomy-assisted orthodontics: biological basis and clinical applications. Ann Orthod Periodontics Spec. 2022;2:8-13. doi:10.51847/0qGERVSoQm
- Furukawa K, Inai N, Tagami J. Influence of luting cements on the fracture resistance of hybrid ceramic restorations. Ann Orthod Periodontics Spec. 2024;4:1-13. doi:10.51847/dgJjH8rfJd
- Seoane-Viaño I, Seoane-Gigirey M, Bendicho-Lavilla C, Gigirey LM, Otero-Espinar FJ, Seoane-Trigo S. Localized drug delivery using linezolid hydrogel for periodontal therapy. Ann Orthod Periodontics Spec. 2024;4:39-46. doi:10.51847/nSySWrEvcx
- İlhan N, Telli S, Temel B, Aştı T. Investigating the sexual satisfaction mediating role in the relationship between health literacy and self-care of men with diabetes and women's marital satisfaction. J Integr Nurs Palliat Care. 2022;3:19-25. doi:10.51847/sFjL3OLpqg
- Zhang X, Wu X, Cao J, Guo N, Bo H, Ma Y, et al. Investigating factors affecting the length of patients' stay in hospitals. J Integr Nurs Palliat Care. 2022;3:26-30. doi:10.51847/FLasQgumnS
- Yoong SQ, Wang W, Seah ACW, Kumar N, Gan JON, Schmidt LT, et al. Study of the self-care status and factors related to it in heart failure patients. J Integr Nurs Palliat Care. 2022;3:31-5. doi:10.51847/Lqz1ms7fB8
- Uzun K, Karataş Z. Investigating the role of metacognitive beliefs, ambiguity tolerance, and emotion processing in predicting nurses' generalized anxiety disorder. J Integr Nurs Palliat Care. 2022;3:36-42. doi:10.51847/mXbCbDAVpU
- Bratt A, Fagerström C. Investigating the relationship between attitude towards aging and self-compassion in middle-aged people. J Integr Nurs Palliat Care. 2023;4:53-8. doi:10.51847/O0ceCpUnwi
- Ghati N, Bhatnagar S, Mahendran M, Thakur A, Prasad K, Kumar D, et al. Investigating the role of palliative care education in improving the life quality of women with breast cancer. J Integr Nurs Palliat Care. 2023;4:69-74. doi:10.51847/RFsAtZu8Tv
- Savva G, Papastavrou E, Charalambous A, Vryonides S, Merkouris A. Studying the nurses' and nursing students' attitudes towards the phenomenon of elderly. J Integr Nurs Palliat Care. 2023;4:6-10. doi:10.51847/DkBR8F3IGx
- Marconcini S, Giammarinaro E, Cosola S, Oldoini G, Genovesi A, Covani U. Impact of non-surgical periodontal therapy on oxidative stress markers in smokers and periodontitis patients. Ann Orthod Periodontics Spec. 2023;3:1-9. doi:10.51847/0xOIHxJgjW
- Kulkarni S, Zope S, Suragimath G, Varma S, Kale A. The influence of female sex hormones on periodontal health: a regional awareness study. Ann Orthod Periodontics Spec. 2023;3:10-8. doi:10.51847/v4EFMh6WEf
How to cite this article:
Citation Formats:
Contact Meral
Meral Publications
www.meralpublisher.com
Davutpasa / Zeytinburnu 34087
Istanbul
Turkey
Email: [email protected]















