Metabolite profiling, total polyphenolic contents and in vitro antioxidant properties of Sidaguri (Sida retusa L.)
Ema Ratna Sari1,2, Netty Suhatri3, Friardi Ismed3,4, Deddi Prima Putra3,4*
1Faculty of Pharmacy, Andalas University, Padang 25163, Indonesia. 2STIFI Bhakti Pertiwi 30128 Palembang, Indonesia. 3Faculty of Pharmacy, Andalas University, Padang, 25163, Indonesia. 4Laboratory of Biota Sumatera, Andalas University, Padang 25163, Indonesia.
Correspondence: Deddi Prima Putra, Faculty of Pharmacy, Andalas University, Padang, 25163, Indonesia. [email protected]
ABSTRACT
Sida retusa L. is a plant belonging to the Malvaceae family native to the tropical and subtropical plains grossing abundantly in Indonesia. Traditionally this plant is used for arthritis, asthma, cough, flatulence, colic, burning sensation, hemorrhoids, intermittent fever, and general debility. This study evaluates the chemical content in metabolite profiling, total polyphenolic contents, and in vitro antioxidant activity from Sida retusa L. leaves extract from West Sumatra, Indonesia. Metabolite profiling determination of Sida retusa L. extract using LC-MS/MS method, total phenolic and flavonoid contents, and antioxidant activity was determined by spectrophotometry. The results of the chromatogram interpretation revealed five main components of Sida retusa L. from West Sumatra were epoxypheophorbide A, scortechinone X, stigmastane-3β,5α,6β-triol, shidasterone B, and linolenic acid. Total phenolic and flavonoid contents from Sida retusa L. were 31.848 mg GAE/g and 12.242 mg QE/g). Sida retusa L. from West Sumatra had an antioxidant activity with IC50 value 468,137 ± 13,319 µg/mL. Sida retusa L. contains various potential secondary metabolites and sources of polyphenols and antioxidants and is a promising source of Indonesian natural ingredients.
Keywords: Sida retusa L, Metabolite profiling, Polyphenolic, Antioxidant
Introduction
Sidaguri plant (Sida spp) is a plant in the Malvaceae family that is often used as traditional medicine against various diseases in various countries [1]. This plant can grow in tropical and subtropical areas consisting of about 200 species spread throughout the world [2]. Several species of Sida, such as Sida acuta, Sida cordifolia, Sida rhombifolia, Sida spinosa, and Sida veronicaefolia are widely used as traditional medicine in India (including Ayurvedic and Siddha), America, Africa, China, and Indonesia [3, 4]. In Indonesia, especially on the island of Sumatra, several species of the genus Sida have been found, such as Sida acuta, Sida rhombifolia, Sida subcordata, Sida scabrida, Sida cordifolia, and Sida retusa. Sida retusa is one of the Sida species that grow quite a lot in West Sumatra. Traditionally, this herb is often used as a remedy for rheumatism, neurological disorders (epilepsy), diuretics and fever, asthma [5, 6], cough, flatulence, colic, burning sensation, hemorrhoids, and fatigue [7], Tonic, aphrodisiac, diuretic and inflammation [8]. The chemical content of the Sida retusa plant includes ecdysteroids, alkaloids, steroids, phenolics, and flavonoids [9, 10].
Several studies have been conducted on this species of Sida retusa, among others Sida rhombifolia ssp. retusa seed extract inhibits DEN-induced murine hepatic preneoplasia and carbon tetrachloride hepatotoxicity was investigated in rats [11, 12]. S. rhombifolia subsp. retusa exhibits strong cytotoxic, antibacterial, antitubercular, and antimycotic activities [13, 14]. Aqueous extract of Sida rhombifolia ssp. retusa leaves have hypoglycemic and hypolipidemic effects in diabetic-induced animals [15]. Research on this species of Sida retusa has not been done much, so we are interested in conducting metabolite profiling, testing the total phenol and total flavonoid contents, and testing the antioxidant activity of this plant.
Materials and Methods
Sample and plant identification
Sida retusa L was collected on Perumdos Kampus Universitas Andalas Kel. Limau Manih, Kec. Pauh Padang, West Sumatra, Indonesia (Figure 1). Identification of Sida retusa L plants at the Andalas University Herbarium (ANDA) Department of Biology, Faculty of Mathematics and Natural Sciences, Andalas University Padang, West Sumatera, Indonesia, with collection number ANDA 00038434.
|
|
|
Figure 1. Sidaguri plant from West Sumatra (Sida retusa L.) |
Chemicals, reagents, and materials
All the chemicals and reagents used in this study were analytical grade and were purchased from Merck and Sigma-Aldrich. Spectrophotometry microplate reader (BioRad Xmark®), UV-Vis Spectrophotometer (Shimadzu PHarmspec 1700®), LC-MS instrument consisting of LC system (Waters Acquity UPLC I-Class), LC column (ACQUITY UPLC®) BEH C8 1.7 m 2.1 x 100 mm, Mass spectrometer (XEVO G2-XS QTof).
Sample preparation
The leaves of Sida retusa L West Sumatra are cleaned and air-dried for 2 weeks. Then it is sorted again and then mashed utilizing a grinder.
Extraction
Extraction was carried out using the maceration method according to the Indonesian Herbal Pharmacopoeia. A total of 50 grams of finely powdered leaves of Sida retusa L were macerated with 50 ml of 70% methanol. Soak for the first 6 hours, stirring occasionally, then let stand for 18 hours. Separate the macerate by filtering then the pulp is macerated again with 25 ml of 70% methanol. The obtained maserate was combined and then concentrated with a rotary evaporator until a thick extract was formed [16, 17].
Determination of total phenolic level
Determination of total phenol content by colorimetric method referring to the procedure of Subramanya et al. (2015) with some modifications with gallic acid (GAE) as standard. A 50 μL sample (1,000 μg/mL) was pipetted into a 96-well plate. Then 50 μL of aquabidest was added, Folin-Ciocalteu reagent 7.5% 50 μL and 1% NaOH 50 μL, then incubated for 60 minutes. The absorbance was measured using a microplate reader at 730 nm. The test was repeated 3 times. Gallic acid was used in the calibration curve to determine the total phenol content [18, 19]. The total phenol content in the extract was expressed as milligram gallic acid equivalent/gram extract (mgEAG/g) [20].
Determination of total flavonoid level
Determination of total flavonoid content by colorimetric method referring to the procedure of Sato et al. (2020) with some modifications with quercetin (QE) as standard. A 50 μL sample (1,000 μg/mL) was pipetted into a 96-well plate. Then AlCl3 10% (w/v) 30 μL, NaNO3 5% (w/v) 30 μL, aquabidest 50 μL, then incubated for 5 minutes. Then add 40 μL of aquabidest again, and incubate again for 30 minutes. The absorbance was measured using a microplate reader at 430 nm. The test was repeated 3 times. The total flavonoid content in the extract was expressed as the milligram equivalent of quercetin extract/ gram extract (mgQE/g) [21, 22].
Antioxidant activity test
Antioxidant testing using the DPPH Free Radical Attenuation method [23]. One hundred microliters of extract (range concentration 62.5 – 500 μg/mL) was put in a 96-well plate, and then 100 μL of DPPH solution in methanol was added. As a standard, gallic acid was used with the same treatment as the sample [24]. This mixture was stored at room temperature in a dark place for 30 minutes. The absorbance was measured at 517 nm. Each extract test was carried out 3 times. The IC50 value is calculated using a linear regression equation [25-27].
Results and Discussion
Plant inventory of sida retusa L
The main characteristics and geographic origin of this Sidaguri plant (Sida retusa L) are shown in Table 1. Next for identification, plant samples were prepared under dry herbarium conditions. The determination was made at the Andalas University Herbarium, Padang. The morphology of Sida retusa L West Sumatra verified at Andalas University, Padang Herbarium is shown in Table 2.
Identify the chemical content profile
To identify the chemical content profile of Sida retusa L leaf extract, metabolite profiling was carried out using the LC-MS/MS method with specifications LC System (ACQUITY UPLC®H-Class System (waters, USA); LC Column (ACQUITY UPLC® HSS C18 (1.8 m 2.1). x100 mm) (waters, USA) and Mass Spectrometer Xevo G2-S QTof (waters, USA) at the Bogor Police Forensic Laboratory. Based on the data from the interpretation of compound content analysis using UPLC-QToF-MS, it can be seen that 5 main compounds from Sida retusa L leaf extract as shown in Table 3.
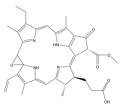
From the LC-MS/MS data, the interpretation of the five main chemical constituents of Sida retusa L, namely epoxypheophorbide A (24.63 %), scortechinone X (12.07 %), stigmastane-3β,5α,6β-triol (8. 25% ), shidasterone B (8.11 %) and linolenic acid (6.99 %) (Figure 2). From the five main chemical constituents of this species, there are several compounds that have been isolated from previous studies. epoxypheophorbide A is a class of phaeophytins compounds isolated from Sida rhombifolia species [28]. Shidasterone B is a class of ecdysteroid compounds, which have been isolated from species Sida cordifolia and Sida rhombifolia. Meanwhile, linolenic acid is a class of aliphatic compounds that have been isolated from species of Sida acuta and Sida rhombifolia [3, 29].
|
Table 1. Main characteristics and geographic origin of the plant Sida retusa. L |
|
|
Characteristics |
Specification |
|
Locality |
Perumdos Kampus Universitas Andalas Kel. Limau Manih, Kec. Pauh Padang |
|
Habitat |
Meadow |
|
Altitude |
300-500 m asl |
|
Code Specimen |
ANDA 00038434 |
|
Coordinate |
0°55'18.9"S 100°27'24.7"E |
|
Table 2. Morphological characteristics of various organs of the Sida retusa. L |
|
|
Morphological characteristics |
Specification |
|
Plant shape & height |
Erect subshrubs up to 80 cm high |
|
Stem |
Stem branched, purplish, stellate hairy |
|
Leave |
Obovate leaves, apex retusus, leaves ca 4 × 6 cm, rhomboid to lanceolate, obovate or suborbicular, stellate-tomentose beneath |
|
Flower |
Diameter of open flowers 12.0-14.0 mm, petals deep yellow |
|
Fruit |
Fruit diameter 4.2-5.0 mm |
|
Table 3. Interpretation of the five main chemical constituents of Sidaguri leaf extract (Sida retusa. L) |
|||||||
|
Retensi Time (Minute) |
Area (%) |
Theoretical mass (m/z) |
Molecule Formula |
MoleculeWeight (g/mol) |
Measured mass [M-H]+ |
Ion Fragment (m/z) |
Tentative Identification |
|
15,32 |
24,63 |
609.2735 |
C36H32N8O2 |
609.69 |
608,26 |
591,2615; 610,2758; 611,2784 |
Epoxypheophorbide A |
|
15, 03 |
12,07 |
609.2670 |
C34H40O10 |
608,68 |
608,26 |
591.2615; 610,2707; 611,2733 |
Scortechinone X |
|
11,83 |
8,25 |
553.4249 |
C36H56O4 |
552.827 |
552.418 |
507, 2278; 291, 1946; 277, 2165 |
Stigmastane-3β,5α,6β-triol |
|
5,10 |
8,11 |
463.3088 |
C27H42O6 |
462,62 |
462,30 |
427,2870; 445.2979; 464,3121 |
Shidasterone B |
|
12,48 |
6,99 |
279.2327 |
C18H30O2 |
278,43 |
278,22 |
275,2010; 280,2361 |
Linolenic acid |
|
|
|
|
|
|
a) |
b) |
c) |
|
|
|
|
||
|
d) |
e) |
||
|
Figure 2. Structure of the five main chemical constituents of the plant extract of Sida retusa. L by LC-MS/MS: (a) Epoxypheophorbide A, (b) Scortechinone X, (c) Stigmastane-3β,5α,6β-triol, (d) Shidasterone B, (e) Linolenic acid. |
|||
Total phenol and total flavonoid content
Testing the total phenol and flavonoid content of Sida retusa L leaf extract by UV Spectrophotometry method using Well 96 Plate and absorbance measured by Microplate Reader. The following is data on the total phenol and flavonoid content of Sida retusa L leaf extract using gallic acid and quercetin as standards (Table 4).
|
Table 4. Total phenol and total flavonoid contents of sidaguri leaf extract (Sida retusa. L) |
||
|
Species |
Total phenolic content (mg GAE/g) |
Total flavonoid content (mg QE/g) |
|
Sida retusa L |
31,848 |
12,242 |
QE : Quercetin equivalent.
GAE : Gallic acid equivalent
From the results of testing the total phenol content, Sida retusa species has a total phenol content of 31,848 mg GAE/g. Measurement of the total phenol content using the Folin-Ciocalteu method which is based on the reducing power of the phenolic hydroxyl group using gallic acid standard [30, 31]. Gallic acid was chosen because it is a pure and stable substance. All phenolic compounds including simple phenols can react with the Folin-Ciocalteu reagent although they are not effective radical scavengers. The presence of an aromatic nucleus in phenolic compounds can reduce phosphomolybdate phosphotungstate to molybdenum tungsten. Phenolic compounds only react with the Folin-Ciocalteu reagent in an alkaline environment so that proton dissociation occurs in phenolic compounds into phenolic ions [27, 32]. In the measurement of total flavonoids, standard quercetin was made as a comparison. Quercetin was chosen because it is a flavonoid (flavonol) group. The total flavonoid content of Sida retusa was 12,242 mg QE/g.
Antioxidant activity
The antioxidant activity of Sida retusa leaf extract was tested using UV spectrophotometry and absorbance was measured at a wavelength of 517 nm. The results of the antioxidant analysis can be seen in Table 5. Based on Table 5. it is known that Sida retusa leaf extract has antioxidant activity with an IC50 value of 468.137 ± 13.319 μg/mL.
|
Table 5. Data on IC50 antioxidant activity of sidaguri leaf extract (Sida retusa. L) |
||
|
Sample |
Range concentration (μg/mL) |
IC50 (μg/mL) |
|
Sida retusa L |
62,5 – 500 |
468,137 ± 13,319 |
|
Gallic acid |
0,15625 - 1,25 |
0,670 ± 0,209 |
IC50: Inhibitory Concentration Fifty
In a previous study, Dhawal et al. (2007), evaluated the antioxidant activity of the extracts of the leaves, stems, roots, and herbs of Sida retusa L, which had IC50 values of 852.8 ± 15, 1,222.5 ± 11, 46.1 ± 12. and 983.8 ± 16 μg/ml [33, 34]. From this data, the IC50 value of Sida retusa originating from West Sumatra, has a smaller value indicating greater antioxidant activity than previous studies.
Conclusion
Sida retusa L is one of the Sidaguri plant species that can be a potential source of phenolic and flavonoid compounds with contents of 31,848 mg GAE/g and 12,242 mg QE/g, respectively. Sida retusa is also a source of antioxidant compounds in the future.
Acknowledgments: The authors gratefully acknowledged the promotors and co-promotors, the head of the Sumatra Biota Laboratory, Laboratory of the Faculty of Pharmacy Andalas University, Padang and Laboratory of STIFI Bhakti Pertiwi, Palembang.
Conflict of interest: None
Financial support: This research was financially supported by STIFI Bhakti Pertiwi, Palembang.
Ethics statement: None
References
- Kitcher C, Mireku-Gyimah NA, Sarkodie JA, Bekoe EO, Asafo-Agyei T, Agyei PA, et al. Pharmacognostic standardization of the leaf and stem bark of millingtonia hortensis linn. (Bignoniaceae). Int J Pharm Res Allied Sci. 2021;10(1):42-9.
- Brandao JL, Baracho GS, Sales MD, Viegas Filho MP. Synopsis of sida (Malvaceae, Malvoideae, Malveae) in the state of Pernambuco, Brazil. Phytotaxa. 2017;307(3):205-27.
- Dinda B, Das N, Dinda S, Dinda M, Silsarma I. The genus Sida L. - A traditional medicine: Its ethnopharmacological, phytochemical, and pharmacological data for commercial exploitation in the herbal drugs industry. J Ethnopharmacol. 2015;176:135-76.
- Aldhairyan AH, Alyami SSH, Alsaad AMS, Al Shuqayfah NI, Alotaibi NA, Mujammami NM, et al. Gastroesophageal reflux disease: Diagnosis and management approach, literature review. World J Environ Biosci. 2022;11(1):1-3. doi:10.51847/EvuxMWxAai
- Almuhanna MA, Alanazi MH, Ghamdi RNA, Alwayli NS, Alghamdi ISG, Qari AA, et al. Tachycardia evaluation and its management approach, literature review. World J Environ Biosci. 2022;11(1):4-8. doi:10.51847/7maH6sWjQy
- Belal SHM, Jaha MJM, Alzahrani MKM, Alyamani AMA, Munshi AHA, Kalantan AAI, et al. Asthma: Overview on diagnostic and management approach in primary health care. Arch Pharm Pract. 2022;13(1):11-4.
- Madharia P, Jahan A. Ethnomedicinal plants and their conservation in chhattisgarh state: Review and perspectives. IOSR J Environ Sci Toxicol Food Technol. 2015;1(4):46-50.
- Dhalwal K, Shinde V, Mahadik KR, Kadam SS. Against thioacetamide and allyl alcohol intoxication in rats. Pharmacologyonline. 2006;3:259-66.
- Nimmy VS, Jayasreee P, Deepa MS. Comparative evaluation of preliminary pharmacognosy and phytochemistry of two source plants of bala (Sida cordifolia Linn. and Sida retusa Linn.). Int J Ayurveda Pharma Res. 2017;5(8):10-5.
- Almohmmadi GT, Bamagos MJ, Al-Rashdi YJR, Alotaibi NS, Alkiyadi AA, Alzahrani AM, et al. Literature review on polycythemia vera diagnostic and management approach. World J Environ Biosci. 2022;11(1):9-12. doi:10.51847/ipOt4R1qlz
- Alqurashi AMA, Jawmin SAH, Althobaiti TAA, Aladwani MNMFA, Almuebid AME, Alharbi JFA, et al. An overview on nasal polyps’ diagnosis and management approach. World J Environ Biosci. 2022;11(1):13-6. doi:10.51847/gde2ofOvaO
- Poojari R, Gupta S, Maru G, Khade B, Bhagwat S. Sida rhombifolia ssp. Retusa seed extract inhibits DEN-induced murine hepatic preneoplasia and carbon tetrachloride hepatotoxicity. Asian Pacific J Cancer Prev. 2009;10(6):1107-12.
- Poojari R. Phytochemical fingerprinting, cytotoxic, antimicrobial, antitubercular, antimycotic potentials of Sida rhombifolia subsp. retusa and Embelia tsjeriam-cottam. Asian Pasific J Inf Syst. 2011;4(3):107-34.
- Alhazmi RA, Khayat SK, Albakri MH, Alruwaili WS, Bayazed HA, Almubarak SA, et al. An overview on the assessment and management of polycystic ovarian syndrome. World J Environ Biosci. 2022;11(1):17-23. doi:10.51847/Yaaa2745ZY
- Dhalwal K, Shinde VM, Singh B, Mahadik KR. Hypoglycemic and hypolipidemic effect of Sida rhombifolia ssp. retusa in diabetic-induced animals. Int J Phytomedicine. 2010;2(2):160-5.
- Republic of Indonesia Ministry of Health. Indonesian Herbal Pharmacopoeia. II. Jakarta; 2017. 531 p.
- Dirican S. Wetland of local importance in sivas province (Turkey): Kaz Lake. World J Environ Biosci. 2023;12(1):16-9. doi:10.51847/SAIXockcIg
- Alsayed MA, Alhassan OMA, Alzahrany AM, Mutanbak HIM, Alamoudi AA, Eid SM, et al. An overview on lumbar disc herniation on surgical management approach. World J Environ Biosci. 2022;11(1):24-9. doi:10.51847/OJ2dQINEwx
- Sarvananda L, Premarathna AD. Investigation of total phenolic, tannins, flavonoid contents, and antioxidant activity of pisonia alba. Pharmacophore. 2021;12(6):43-9.
- Subramanya MD, Pai SR, Upadhya V, Ankad GM, Bhagwat SS, Hegde HV. Total polyphenolic contents and in vitro antioxidant properties of eight Sida species from Western Ghats, India. J Ayurveda Integr Med. 2015;6(1):24-8.
- Sato VH, Chewchinda S, Parichatikanond W, Vongsak B. In vitro and in vivo evidence of hypouricemic and anti-inflammatory activities of Maclura cochinchinensis (Lour.) Corner heartwood extract. J Tradit Complement Med. 2020;10(1):85-94.
- Gogoi P, Kamle M, Kumar P. Endophytic bacteria associated with rice: Role in biotic and abiotic stress protection and plant growth promotions. World J Environ Biosci. 2023;12(1):1-9. doi:10.51847/ELxLUdbokK
- Benguiar R, Benaraba R, Abdellah F, Hammou ASAIT, Bouriah M, Moulayat KE. Effect of green tea “Camellia sinensis” extract on antioxidant activity of fresh-cut apple during cold storage. J Biochem Technol. 2021;12(3):91-5.
- Saravanakumar V, Masi C, Neme I, Arjun K, Dinakarkumar Y. Geographical comparison of phytoconstituents in euphorbia hirta: A pilot study in ethiopia and India. Bull Pioneer Res Med Clin Sci. 2022;1(2):34-41.
- Molyneux P. The use of the stable free radical diphenylpicryl-hydrazyl (DPPH) for estimating anti-oxidant activity. Songklanakarin J Sci Technol. 2004;26(2):211-9.
- Holachi H, Sathyanarayanaroa HT, Achar RR, Tulasidas VK. A sustainable way for integrated farming system: A case study on Bellary district of Karnataka, India. World J Environ Biosci. 2023;12(1):10-5. doi:10.51847/Ucdm0q75V8
- AlTurkistani MAA, Albarqi HH, Alderaan MY. Medical errors in pediatric emergency to improve safety and quality, a systematic review. World J Environ Biosci. 2023;12(1):41-6. doi:10.51847/g28CCUYWgk
- Chaves OS, Gomes RA, De Andrade Tomaz AC, Fernandes MG, Das Graças Mendes L, De Fátima Agra M, et al. Secondary metabolites from Sida rhombifolia L. (Malvaceae) and the vasorelaxant activity of cryptolepinone. Molecules. 2013;18(3):2769-77.
- Aodh AM, Al-Marshedi AA. Williams-beuren's syndrome: A case report in Prince Sultan Military city, Riyadh, Saudi Arabia 2022. World J Environ Biosci. 2023;12(1):20-3. doi:10.51847/dQxngBeVLQ
- Gowda B, Gurusiddappa LH, Kalikeri S. Study on occupational health hazards of municipal solid waste workers - A review. World J Environ Biosci. 2023;12(1):24-31. doi:10.51847/dmEF1XWBtq
- Nagarajan S. Polyphenolic compounds - A promising leads for antiviral therapy. Pharmacophore. 2022;13(1):36-47.
- Adjdir S, Benariba N, Adida H, Kamila G, El Haci IA, Terki M, et al. Phenolic compou nds and antimicrobial activity of ziziphus jujuba mill. Fruit from Tlemcen (Algeria). J Biochem Technol. 2021;12(1):40-4.
- Mulu E, Jenber AJ, Tesfaye A, Belay B. Integrated Management of onion thrips on onion, Mecha district, Ethiopia. World J Environ Biosci. 2023;12(1):32-40. doi:10.51847/bbmj8P5dll
- Dhalwal K, Deshpande YS, Purohit AP. Evaluation of in vitro antioxidant activity of Sida rhombifolia (L.) Ssp. retusa (L.). J Med Food. 2007;10(4):683-8.
Contact Meral
Meral Publications
www.meralpublisher.com
Davutpasa / Zeytinburnu 34087
Istanbul
Turkey
Email: [email protected]





