Key predictors of emotion regulation in Vietnamese undergraduates: life orientation, social support, and self-esteem
Abstract
Emotional regulation skills are essential for maintaining mental health and fostering well-being, especially among undergraduate students who face unique academic and social pressures. This study examines the predictive roles of life orientation, perceived social support, and self-esteem on emotion regulation skills, addressing a research gap in the Vietnamese context. A cross-sectional survey was conducted with 675 undergraduate students from Ho Chi Minh City National University, using standardized instruments adapted for cultural relevance. Data were analyzed using Pearson’s correlation coefficient and stepwise multiple regression. Results revealed that optimism, support from significant others, and self-confidence were the most influential predictors of emotion regulation skills, while pessimism and self-deprecation had negative associations. The final model explained 52.1% of the variance in emotion regulation skills, highlighting the critical importance of close relationships and positive life perspectives. These findings underscore the need for interventions that enhance optimism, self-esteem, and meaningful support systems to enhance students’ emotional resilience. Future research should validate these findings in broader populations and explore the effectiveness of targeted intervention programs.
Keywords: Emotion regulation, Life orientation, Perceived social support, Self-esteem, Undergraduate students
Introduction
The ability to regulate emotions is a cornerstone of psychological resilience and mental well-being, profoundly influencing individuals’ capacity to navigate life’s challenges [1]. Particularly within the context of higher education, where students face academic pressures and developmental transitions, effective emotion-regulatory skills are critical for reducing stress, fostering interpersonal relationships, and achieving academic success [2]. However, the COVID-19 pandemic underscored vulnerabilities in students’ mental health, revealing that inadequate emotion regulation correlates with heightened risks of depression, anxiety, and social withdrawal [3].
Despite the recognized importance of emotion regulation, the factors that influence its development and application remain a topic of ongoing investigation. Previous research has explored the neurobiological, social, and behavioral dimensions of emotion regulation, highlighting the interplay of intrinsic processes and environmental factors [4, 5]. For example, Gross proposed a comprehensive emotion regulation model that emphasizes deliberate strategies to enhance positive emotional experiences while mitigating negative ones [6, 7]. Subsequent studies have refined this understanding by identifying specific competencies involved in emotion regulation, including emotional clarity, acceptance, and adaptive modification [8, 9]. However, debates persist regarding the relative contributions of individual versus contextual factors in shaping emotion regulation capacities, with some researchers emphasizing self-directed skills and others highlighting the critical role of external support systems [10, 11].
This study contributes to this discourse by examining the influence of three key psychosocial variables, such as life orientation, perceived social support, and self-esteem on emotion regulation skills among undergraduate students. Life orientation, which encompasses optimistic and pessimistic attitudes, shapes how individuals approach and interpret challenges, with optimism associated with proactive coping and enhanced emotional resilience [12]. Perceived social support, defined as the subjective experience of being cared for and valued by others, has been shown to buffer stress and promote emotional stability, particularly through relationships with family, friends, and significant others [13, 14]. Self-esteem, a reflection of one’s self-worth, is another critical determinant, influencing how individuals respond to adversity and regulate their emotional states [15].
While these relationships have been explored individually in various cultural contexts, a notable lack of comprehensive studies that has integrated these factors to examine their collective impact on emotion regulation skills. Moreover, limited attention has been given to these dynamics in Vietnamese populations, where cultural values and social structures may uniquely shape emotion regulation processes.
This research aims to address these gaps by (i) investigating the predictive roles of life orientation, perceived social support, and self-esteem on emotion regulation skills and (ii) identifying the most influential factors through statistical modeling. The findings provide critical insights into the mechanisms underlying emotion regulation and offer practical implications for designing interventions to enhance students’ emotional and psychological well-being.
Materials and Methods
Study design and sample
This study was conducted with a representative sample of 675 undergraduate students from Ho Chi Minh City National University, Vietnam. Participants were recruited from multiple member universities, including the University of Social Sciences and Humanities (37.3%), University of Information Technology (19.9%), University of Technology (13.2%), University of Economics and Law (10.7%), International University (9.8%), and the University of Science (9.2%). These universities collectively represent the diverse academic and demographic characteristics of the institution’s student population. The sample size exceeded the 400-participant threshold recommended for representativeness in large populations, ensuring a 5% margin of error.
The study used a cross-sectional design with a convenience sampling method. The surveys were distributed online between July 2021 and October 2021 through academic advisors and instructors to ensure broad dissemination. The survey contained detailed information about the study’s objectives, confidentiality measures, and data usage policies. Participation was voluntary, and informed consent was obtained from all participants before data collection.
Survey instruments
Four validated instruments were used to measure the study variables:
- Emotional regulation skills
Emotional regulation skills were assessed using the Emotional Regulation Skills Scale (ERSS) developed by Grant et al. [16]. The scale comprises 26 items that measure nine components of emotional regulation: emotional clarity, acceptance, tolerance, and modification. Responses were recorded on a 5-point Likert scale ranging from 0 (not at all) to 4 (almost always). The Vietnamese version of the scale was adapted through a rigorous translation-back translation process and pre-tested on 50 subjects for cultural relevance. The scale demonstrated high internal consistency (Cronbach’s Alpha = 0.847) and explained 66.76% of the total variance in exploratory factor analysis.
- Perceived social support
Perceived social support was measured using the Multidimensional Scale of Perceived Social Support (MSPSS) developed by Zimet et al. [14, 17]. The MSPSS assesses three dimensions of support: family, friends, and significant others, using 12 items rated on a 5-point Likert scale (1 = strongly disagree, 5 = strongly agree). The adapted Vietnamese version showed excellent reliability, with Cronbach’s alpha coefficients ranging from 0.866 to 0.899 and a total variance of 73.61%.
- Self-Esteem
The Rosenberg Self-Esteem Scale (RSES) was used to evaluate self-esteem. This 10-item scale measures two components: self-confidence and self-deprecation [18]. Participants were asked to respond on a 4-point Likert scale (1 = strongly disagree, 4 = strongly agree). The Vietnamese version, adapted by Nguyen Tan Dat (2019), exhibited high reliability, with Cronbach’s alpha values of 0.855 (self-confidence) and 0.825 (self-deprecation) [19].
- Life-orientation
Life orientation, which encompasses optimism and pessimism, was assessed using the Revised Life Orientation Test (LOT-R) [12]. This 10-item scale includes six evaluation items and four filler items. Responses were recorded on a 4-point Likert scale (0 = strongly disagree, 4 = strongly agree). The Vietnamese adaptation showed strong reliability (Cronbach's Alpha = 0.88) and validity in prior studies.
Data collection and analysis
Participants completed the survey through an online platform accessible via secure links shared by university staff. The survey was structured to minimize response bias and ensure participant anonymity. The instrument was divided into five sections: demographic information, emotional regulation skills, perceived social support, self-esteem, and life orientation.
Significant predictors with p < 0.05 were included in the final model. SPSS 20.0 was used to analyse the data. Exploratory Factor Analysis (EFA) and Cronbach's alpha were used to assess validity and reliability. Variables with corrected item-total correlation coefficients below 0.3 or factor loadings below 0.5 were barred from additional examination. All variables' descriptive statistics, such as means (M) and standard deviations (SD), were calculated and displayed using a bar plot [20-24].
The associations between the variables were investigated using Pearson's correlation analysis. The relationships are displayed as a heatmap, with significant associations at p < 0.01 highlighted.
The best predictive models for emotion management abilities were found using stepwise multiple regression analysis. The final model only included predictors with p-values less than 0.05. Changes in the standardised regression coefficients (β) over the course of the regression process were visualised using a dumbbell plot [25-30].
Ethical considerations
The study was conducted in accordance with the ethical guidelines established by the University of Social Sciences and Humanities, Vietnam National University, Ho Chi Minh City (VNUHCM-USSH). The study complied with rigorous ethical guidelines even though anonymous survey replies did not require official ethics approval. Prior to participation, participants gave their informed consent after being fully told about the study's goals, their opportunity to withdraw, and the confidentiality guarantee.
No personally identifying or sensitive data was gathered. Throughout the study, confidentiality and privacy were strictly upheld in accordance with national and international ethical standards. The study protected the rights and privacy of participants and made sure that ethical research standards were followed.
Data availability
The dataset supporting the findings of this study is available from the corresponding author upon reasonable request, T.V.N. Access to the data is subject to ethical and confidentiality considerations.
Results and Discussion
Preliminary analysis
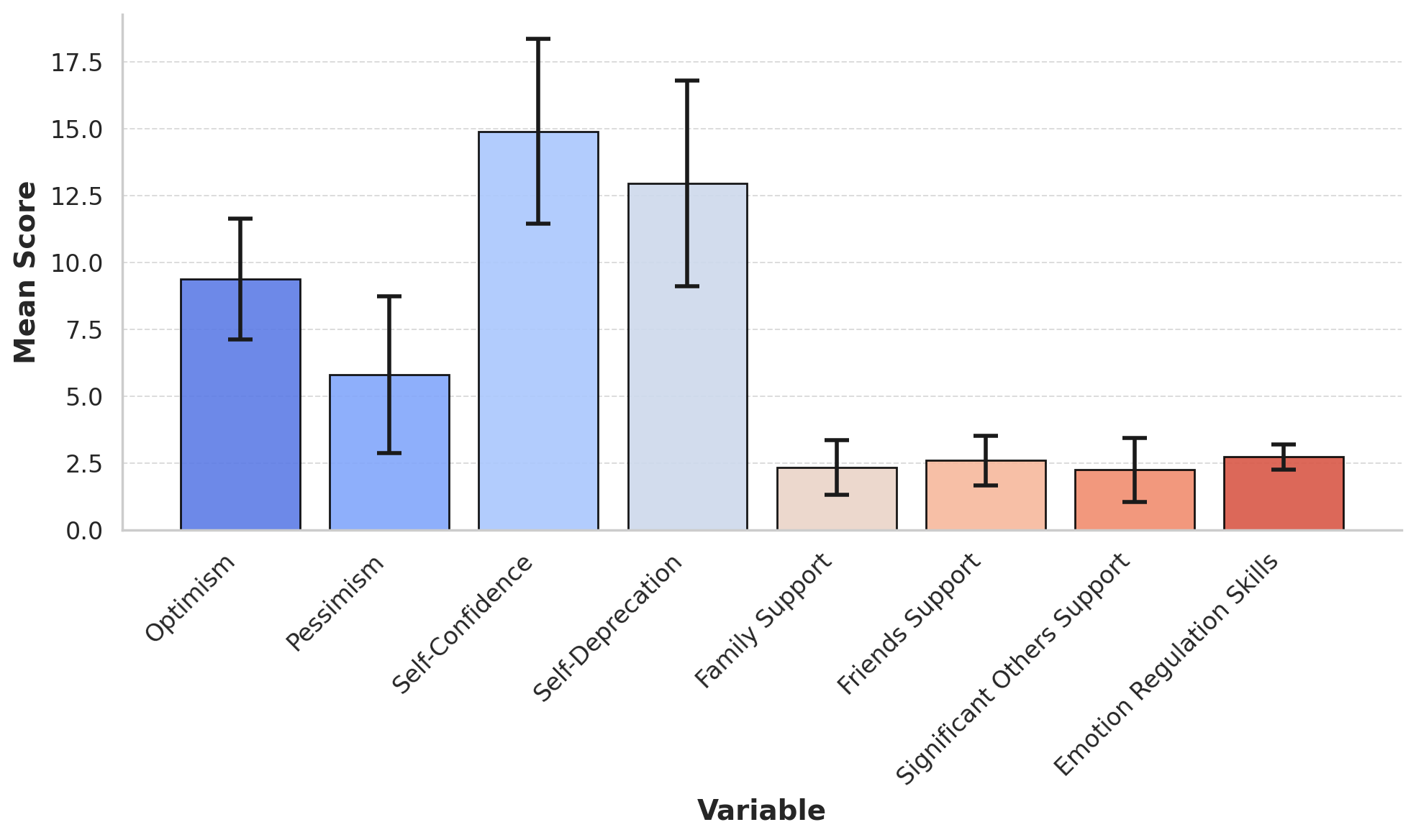
The descriptive statistics for the key variables indicate that undergraduate students reported relatively higher levels of optimism (M = 9.38, SD = 2.26) than pessimism (M = 5.82, SD = 2.93). Similarly, self-confidence (M = 14.91, SD = 3.46) was higher than self-deprecation (M = 12.96, SD = 3.85). Regarding perceived social support, students reported the highest levels of support from friends (M = 2.60, SD = 0.92), followed by family (M = 2.34, SD = 1.03) and significant others (M = 2.25, SD = 1.20). The overall mean score for emotion regulation skills was relatively high (M = 2.74, SD = 0.47), demonstrating that participants perceived themselves as capable of effectively managing their emotions.
|
|
|
Figure 1. Mean scores and standard deviations of psychological variables related to emotion regulation skills |
Correlation analysis
Pearson correlation analysis revealed significant associations between the key variables and emotion regulation skills (Figure 2). Optimism, self-confidence, and perceived social support demonstrated significant positive correlations with emotion regulation skills (p < 0.01). Conversely, pessimism and self-deprecation exhibited significant negative correlations (p < 0.01). Among the dimensions of perceived social support, support from significant others showed the strongest correlation with emotion regulation skills (r = 0.49, p < 0.01), whereas support from friends exhibited the weakest correlation (r = 0.34, p < 0.01).
|
|
|
Figure 2. Pearson correlations between key psychological factors and emotion regulation skills |
Predictors of emotional regulation skills
Stepwise multiple regression analysis was conducted to identify the key predictors of emotion regulation skills (Figure 3). The final model explained 52.1% of the variance in emotion regulation skills (Adjusted R² = 0.521, F = 123.3, p < 0.01). The most influential predictor was support from significant others (β = 0.265, p < 0.01), followed closely by optimism (β = 0.260, p < 0.01). Self-confidence also contributed positively (β = 0.163, p < 0.01), whereas family support, though statistically significant, had a relatively smaller effect (β = 0.133, p < 0.01). In contrast, pessimism (β = -0.146, p < 0.01) and self-deprecation (β = -0.165, p < 0.01) negatively impacted emotion regulation skills. Notably, support from friends did not reach statistical significance and was excluded from the final model.
|
|
|
Figure 3. Stepwise progression of β coefficients in multiple regression analysis of emotion regulation skills |
Discussion
This study examined the influence of life orientation, perceived social support, and self-esteem on the emotion regulation skills of undergraduate students. The results revealed that optimism and support from significant others were the most influential predictors of emotion regulation skills, while self-confidence also contributed positively. In contrast, pessimism and self-deprecation had negative effects. These findings align with previous research, which has consistently demonstrated that optimism fosters adaptive coping strategies and enhances emotional resilience [12, 31]. The strong predictive power of social support, particularly from significant others, further reinforces the role of interpersonal relationships in shaping students' emotional regulation capacities [32].
The findings contribute to a growing body of literature emphasizing the interactive role of individual and social factors in emotion regulation. While early studies predominantly focused on cognitive and neurobiological aspects, the current study highlights the necessity of incorporating psychosocial elements into emotion regulation models [6, 33]. The significance of social support from significant others in terms of friendship indicates that deeper, emotionally meaningful relationships may play a more crucial role in fostering effective emotion regulation [34-38]. This supports previous claims that close, stable relationships contribute to psychological resilience and well-being more than superficial social connections [13, 17].
From a practical perspective, these results have important implications for mental health interventions. Given that optimism and social support positively contribute to emotional regulation, universities should consider implementing structured mentoring programs, peer counseling initiatives, and resilience-building workshops to enhance students’ emotional regulation skills. In addition, interventions designed to reduce pessimistic thinking and improve self-esteem can help mitigate the adverse effects of self-deprecation on emotion regulation [39-45].
The study’s results are consistent with findings from Western psychological research on optimism and emotion regulation, confirming that these relationships extend to Vietnamese undergraduate students [9, 31]. However, a notable divergence arises regarding the role of friend support. While prior studies have emphasized the importance of peer relationships in emotional well-being, the present study found that friend support was not a statistically significant predictor of emotion regulation skills [46]. This discrepancy may stem from cultural differences in interpersonal relationships, in which Vietnamese students may rely more on family and significant others for emotional guidance than peers. Future research should explore this cultural aspect further.
Despite the study’s contributions, several limitations must be acknowledged. First, the study employed a cross-sectional design, which limits causal inferences. Longitudinal studies are necessary to confirm the directionality of relationships between life orientation, social support, self-esteem, and emotion regulation. Second, the study relied on self-reported measures, which are susceptible to social desirability bias. Future studies should incorporate objective measures or behavioral assessments to validate these findings. Another limitation is the use of convenience sampling, which may reduce the generalizability of the results beyond the sampled student population. Expanding this research to diverse cultural settings and age groups could provide deeper insights into how emotion regulation mechanisms operate across demographic groups. Finally, while this study focused on psychosocial factors, future research should explore the potential influence of personality traits, coping strategies, and cultural values on emotion regulation skills.
This study underscores the significant role of optimism, social support, and self-esteem in fostering emotion regulation skills among undergraduate students. Optimism and support from significant others emerged as the strongest predictors, whereas pessimism and self-deprecation negatively influenced emotion regulation capacities. These findings emphasize the need for targeted interventions that enhance students’ resilience through social support networks and psychological skill training. Given the dynamic nature of emotion regulation, future research should continue to refine and expand upon these insights, particularly within different cultural and demographic contexts.
Conclusion
This study examined the predictors of emotion regulation skills among undergraduate students, highlighting the significant roles of life orientation, perceived social support, and self-esteem. Optimism and support from significant others emerged as the strongest positive predictors, whereas pessimism and self-deprecation negatively influenced emotion regulation. These findings underscore the importance of fostering positive attitudes, strengthening meaningful social connections, and enhancing self-esteem to enhance students’ emotional resilience. The study also contributes to a broader understanding of how psychosocial factors shape emotional regulation, with cultural implications suggesting that deeper relationships, rather than peer connections, play a more critical role in emotional well-being. Given the cross-sectional nature of this study, future research should employ longitudinal designs and behavioral assessments to further validate the findings. Expanding the study across diverse cultural and demographic contexts will enhance the generalizability of the results. These insights emphasize the need for targeted interventions in educational settings to promote optimism, reinforce social support networks, and develop self-regulation strategies, ultimately improving students’ mental health and overall well-being.
Acknowledgments: None
Conflict of interest: None
Financial support: This research is funded by the University of Social Sciences and Humanities, Vietnam National University Ho Chi Minh City under grant number NCM2025-01.
Ethics statement: The study was conducted in accordance with the Declaration of Helsinki and adhered to the ethical principles and guidelines established by the University of Social Sciences and Humanities, Vietnam National University, Ho Chi Minh City (VNUHCM-USSH). Ethical review and approval were waived for this study because it only involved collecting anonymous survey responses from voluntary participants. No sensitive or personally identifiable information was gathered, and all data collection procedures strictly complied with privacy and data protection regulations. Informed consent was obtained from all participants before their participation, ensuring that they were fully informed about the study objectives, procedures, and their rights as research subjects. Confidentiality and privacy were safeguarded throughout the research process.
References
- Chen X, Huang Z, Lin W. The effect of emotion regulation on happiness and resilience of university students: the chain mediating role of learning motivation and target positioning. Front Psychol. 2022;13. doi:10.3389/fpsyg.2022.1029655
- Usán Supervía P, Quílez Robres A. Emotional regulation, and academic performance in the academic context: the mediating role of self-efficacy in secondary education students. Int J Environ Res Public Health. 2021;18(11):5715. doi:10.3390/ijerph18115715
- Dhruve DM, Russo JE, Oliveros AD. The impact of social support and emotion dysregulation on COVID-19 depressive symptoms. Front Psychol. 2023;14:1165889. doi:10.3389/fpsyg.2023.1165889
- Shuman V. Studying the social dimension of emotion regulation. Front Psychol. 2013;4:922. doi:10.3389/fpsyg.2013.00922
- Uchida M, Biederman J, Gabrieli JDE, Micco J, de Los Angeles C, Brown A, et al. Emotion regulation ability varies in relation to intrinsic functional brain architecture. Soc Cogn Affect Neurosci. 2015;10(12):1738-48. doi:10.1093/scan/nsv059
- Gross JJ. The emerging field of emotion regulation: an integrative review. Rev Gen Psychol. 1998;2(3):271-99. doi:10.1037/1089-2680.2.3.271
- Gross JJ. Antecedent- and response-focused emotion regulation: divergent consequences for experience, expression, and physiology. J Pers Soc Psychol. 1998;74(1):224-37. doi:10.1037//0022-3514.74.1.224
- Berking M, Wupperman P, Reichardt A, Pejic T, Dippel A, Znoj H. Emotion-regulation skills as a treatment target in psychotherapy. Behav Res Ther. 2008;46(11):1230-7. doi:10.1016/j.brat.2008.08.005
- Berking M, Wirtz CM, Svaldi J, Hofmann SG. Emotion regulation predicts symptoms of depression over five years. Behav Res Ther. 2014;57:13-20. doi:10.1016/j.brat.2014.03.003
- de la Fuente J, Peralta-Sánchez FJ, Martínez-Vicente JM, Sander P, Garzón-Umerenkova A, Zapata L. Effects of self-regulation vs. external regulation on the factors and symptoms of academic stress in undergraduate students. Front Psychol. 2020;11:1773. doi:10.3389/fpsyg.2020.01773
- de la Fuente J, Martínez-Vicente JM, Pachón-Basallo M, Peralta-Sánchez FJ, Vera-Martínez MM, Andrés-Romero MP. Differential predictive effect of self-regulation behavior and the combination of self- vs. external regulation behavior on executive dysfunctions and emotion regulation difficulties, in university students. Front Psychol. 2022;13:876292. doi:10.3389/fpsyg.2022.876292
- Scheier MF, Carver CS, Bridges MW. Distinguishing optimism from neuroticism (and trait anxiety, self-mastery, and self-esteem): a reevaluation of the life orientation test. J Pers Soc Psychol. 1994;67(6):1063-78. doi:10.1037//0022-3514.67.6.1063
- Cobb S. Presidential Address-1976. Social support as a moderator of life stress. Psychosom Med. 1976;38(5):300-14. doi:10.1097/00006842-197609000-00003
- Dahlem NW, Zimet GD, Walker RR. The multidimensional scale of perceived social support: a confirmation study. J Clin Psychol. 1991;47(6):756-61. doi:10.1002/1097-4679(199111)47:6<756::aid-jclp2270470605>3.0.co;2-l
- Orth U, Robins RW. The development of self-esteem. Curr Dir Psychol Sci. 2014;23(5):381-7. doi:10.1177/0963721414547414
- Grant M, Salsman NL, Berking M. The assessment of successful emotion regulation skills use: development and validation of an English version of the emotion regulation skills questionnaire. PLOS ONE. 2018;13(10):e0205095. doi:10.1371/journal.pone.0205095
- Zimet GD, Powell SS, Farley GK, Werkman S, Berkoff KA. Psychometric characteristics of the multidimensional scale of perceived social support. J Pers Assess. 1990;55(3-4):610-7. doi:10.1080/00223891.1990.9674095
- Rosenberg, M. Society and the adolescent self-image. Princeton (NJ): Princeton University Press; 1965. doi:10.1515/9781400876136
- Nguyen DT, Wright EP, Dedding C, Pham TT, Bunders J. Low self-esteem and its association with anxiety, depression, and suicidal ideation in vietnamese secondary school students: a cross-sectional study. Front Psychiatry. 2019;10:698. doi:10.3389/fpsyt.2019.00698
- Spirito FD, Iacono VJ, Alfredo I, Alessandra A, Sbordone L, Lanza A. Impact of COVID-19 awareness on periodontal disease prevention and management. Asian J Periodontics Orthod. 2022;2(1-2022):16-26. doi:10.51847/t8D9TJGOCU
- Dongmo LF, Tamesse JL. Population trends of hilda cameroonensis tamesse & dongmo (tettigometridae), a pest of vernonia amygdalina delile in Yaoundé, Cameroon. Int J Vet Res Allied Sci. 2023;3(1):1-10. doi:10.51847/CurzkzD60G
- Domatskiy VN, Sivkova EI. Patterns of epidemiology and epizootiology of toxocariasis across the Russian Federation. Int J Vet Res Allied Sci. 2023;3(1):11-8. doi:10.51847/pQLhSidHBz
- López-Martínez V, O NBPL, Aguirre-Cadena JF, Brindis-Santos AI, Osorio-Espinoza H. Tomicus species (Coleoptera: Curculionidae: Scolytinae) as an invasive threat to mexico’s forests using ecological niche modeling. Entomol Lett. 2022;2(2):27-36. doi:10.51847/vQd7sHNrcA
- Leyte-Marique A, Guzmán-Mendoza R, Salas-Araiza MD. Ecological roles and insect assemblages in southern guanajuato grain crops. Entomol Lett. 2022;2(2):37-46. doi:10.51847/LuXJYmQDEA
- AlShammasi H, Alkhaldi G, Alharbi L, Alyami M. Shifts in parental perception of pediatric patients needing dental rehabilitation under general anesthesia post-pandemic. Turk J Public Health Dent. 2024;4(1):29-35. doi:10.51847/jAv4cm0TTn
- Malcangi G, Patano A, Trilli I, Piras F, Ciocia AM, Inchingolo AD, et al. A systematic review of the role of soft tissue lasers in enhancing esthetic dental procedures. Int J Dent Res Allied Sci. 2023;3(2):1-8. doi:10.51847/DWXltUS9Lp
- Grin NA, Platova EG, Dukaev MV, Magomedovic AM, Gairbekov MK, Sulimanova KI, et al. Evaluating the effectiveness of silver nanoparticle-modified dental fillings on enhancing hard tissue durability. Int J Dent Res Allied Sci. 2023;3(2):29-35. doi:10.51847/XdLVg7zuuq
- Mustafa RM, Alshali RZ, Bukhary DM. Evaluating Saudi dentists’ compliance with safety protocols during COVID-19. Ann J Dent Med Assist. 2023;3(1):1-10. doi:10.51847/9vx0wN0iuZ
- Avramova N, Vasileva IM. The role of continuous education in career progression and satisfaction among dentists. Ann J Dent Med Assist. 2024;4(2):28-33. doi:10.51847/aGYwXHsnlf
- García E, Jaramillo S. Telescopic retention in prosthodontics: a digital approach for enhanced patient outcomes. Asian J Periodontics Orthod. 2023;3:25-9. doi:10.51847/zpD7lrfE1t
- Carbone E, Lenti G, Sella E, Moè A, Borella E. Emotion regulation, hope, and optimism during the third wave of the COVID-19 pandemic: the role of age and personality. PLOS ONE. 2024;19:e0296205. doi:10.1371/journal.pone.0296205
- Hatteberg SJ. A tale of many sources: the perceived benefits of significant other, similar other, and significant and similar other social support. Sociol Perspect. 2021;64(1):37-57. doi:10.1177/0731121420908885
- Gross JJ. Emotion regulation: affective, cognitive, and social consequences. Psychophysiology. 2002;39:281-91. doi:10.1017/s0048577201393198
- Vogel JP, Nguyen P, Ramson J, Silva MSD, Pham MD, Sultana S, et al. Studying the effectiveness of various treatment methods effective on postpartum hemorrhage. Bull Pioneer Res Med Clin Sci. 2023;2(2):20-6. doi:10.51847/P4KETj5Mik
- Graefen B, Hasanli S, Fazal N. Behind the white coat: the prevalence of burnout among obstetrics and gynecology residents in Azerbaijan. Bull Pioneer Res Med Clin Sci. 2023;2(2):1-7. doi:10.51847/vIIhM1UG2l
- Li Q, Du Y, Yang K. Patient satisfaction and oral health-related quality of life in fixed vs. clear aligner therapy. Ann Orthod Periodontics Spec. 2024;4(1-2024):26-31. doi:10.51847/NcuofphBQC
- Kulkarni S, Zope S, Suragimath G, Varma S, Kale A. The influence of female sex hormones on periodontal health: a regional awareness study. Ann Orthod Periodontics Spec. 2023;3:10-8. doi:10.51847/v4EFMh6WEf
- Ravoori S, Sekhar PR, Pachava S, Pavani NPM, Shaik PS, Ramanarayana B. Perceived stress and depression among oral cancer patients - a hospital based cross-sectional study. Turk J Public Health Dent. 2024;4(1):1-5. doi:10.51847/FoK9xAl1JW
- Çakar S, Özyer K, Azizoğlu O. The mediating role of emotional labor in the impact of organizational climate on burnout. J Organ Behav Res. 2022;7(1):1-13. doi:10.51847/oKRklsMVyv
- Hoang TTV, Nguyen TH, Nguyen TTT, Hoang LPT, Ho TTT, Nguyen THT, et al. Research factors affecting students’ academic results in learning project subjects oriented CDIO in Vinh University. J Organ Behav Res. 2022;7(1):14-28. doi:10.51847/SntPtYuASo
- Üzüm B, Özkan OS, Çakan S. Moral disengagement, organizational broken window, person-organization fit as an antecedent: Machiavellian leadership. J Organ Behav Res. 2022;7(1):29-41.doi:10.51847/54QfKceM1p
- Zhang X, Wu X, Cao J, Guo N, Bo H, Ma Y, et al. Investigating factors affecting the length of patients' stay in hospitals. J Integr Nurs Palliat Care. 2022;3(1-2022):26-30. doi:10.51847/FLasQgumnS
- Uzun K, Karataş Z. Investigating the role of metacognitive beliefs, ambiguity tolerance, and emotion processing in predicting nurses' generalized anxiety disorder. J Integr Nurs Palliat Care. 2022;3:36-42. doi:10.51847/mXbCbDAVpU
- Savva G, Papastavrou E, Charalambous A, Vryonides S, Merkouris A. Studying the nurses' and nursing students' attitudes towards the phenomenon of elderly. J Integr Nurs Palliat Care. 2023;4(1-2023):6-10. doi:10.51847/DkBR8F3IGx
- Saravanakumar V, Masi C, Neme I, Arjun K, Dinakarkumar Y. Geographical comparison of phytoconstituents in euphorbia hirta: a pilot study in Ethiopia and India. Bull Pioneer Res Med Clin Sci. 2022;1(2):34-41. doi:10.51847/ErNYBrhrFF
- Procidano ME, Smith WW. Assessing perceived social support. In: Pierce GR, Lakey B, Sarason IG, et al., eds. Sourcebook of Social Support and Personality. Boston, MA: Springer US; 1997. p. 93–106. ISBN 978-1-4899-1843-7.
How to cite this article:
Citation Formats:
Contact Meral
Meral Publications
www.meralpublisher.com
Davutpasa / Zeytinburnu 34087
Istanbul
Turkey
Email: [email protected]


